【公示】9001jcc金沙以诚为本9001jcc金沙以诚为本2023年硕士研究生复试成绩公示2
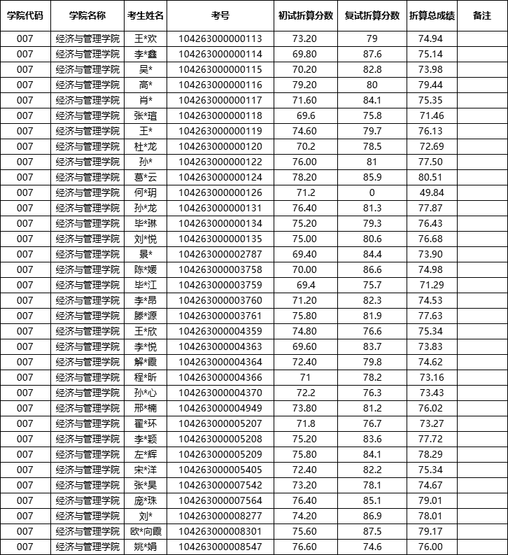
按照学校要求,经学院复试考核,现对9001jcc金沙以诚为本2023年硕士研究生复试成绩予以公示,若对复试成绩有异议,请联系学院。 于老师 0532-88957399
9001jcc金沙以诚为本2023年4月4日
2023级金融专硕复试成绩公示
2023级工业工程与管理专硕复试成绩公示
2023级物流工程与管理专硕复试成绩公示
2023级物流工程与管理专硕复试成绩公示(士兵计划)
2023级工业工程与管理专硕复试成绩公示(士兵计划)
上一篇:【公示】9001jcc金沙以诚为本9001jcc金沙以诚为本2023年硕士研究生复试成绩公示3
下一篇:【公示】9001jcc金沙以诚为本2022年度青岛银行奖助学金名单公示